2021年全軍面向社會公開招考文職人員網(wǎng)上報名有關(guān)情況
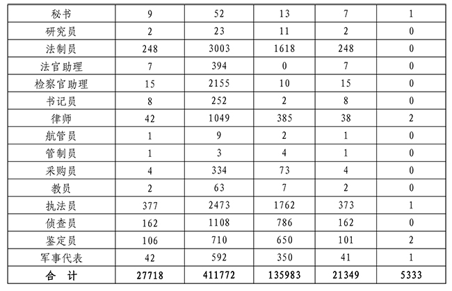
2021年全軍面向社會公開招考文職人員(不含先面試后筆試崗位)報名時段已經(jīng)結(jié)束,截至4月13日18時,有547755人報考,其中411772名報考人員通過網(wǎng)上報名資格條件初審,平均報招比為19.3∶1,最高報招比為1103∶1。4月13日18:00至15日18:00期間,招考單位繼續(xù)對已提交審核的報考人員進行報名資格條件初審,因證明材料不全未通過審核的報考人員可補充材料繼續(xù)報考該崗位。繳費時間為4月16日8:00至18日18:00,通過報名資格條件初審的報考人員在此期間辦理繳費手續(xù)和選擇考試城市,打印報名回執(zhí)后方為報名成功。相關(guān)崗位報考情況如下:
1.截至4月13日18時各省份崗位報考情況統(tǒng)計表

2.截至4月13日18時各崗位類別報考情況統(tǒng)計表


3.截至4月13日18時熱門崗位報考情況統(tǒng)計表


來源:http://81rc.81.cn/news/2021-04/13/content_10021340.htm


